由于HCR的目标链通常是一段短链的核酸,因此HCR非常适合检测miRNA和其它的短链DNA。也可以通过在HCR体系中引入核酸适配体和特殊的DNA-金属离子结构,完成对适配体目标物如金属离子的检测。
下面是这几种检测应用的具体案例。
miRNA 是一类内生的、长度约为20-24个核苷酸的小RNA。目前常规检测miRNA的办法是荧光定量PCR和Microarray芯片检测方法,而借助HCR和石墨烯检测miRNA则是一种不需要酶催化的新方法。
氧化石墨烯是一种性能优异的新型碳材料,具有较高的比表面积,它可以与DNA分子之间可以形成π-π堆积力产生非共价形式的吸附,DNA上荧光分子产生的荧光通过FRET(荧光共振能量转移)传递到氧化石墨烯上,导致荧光淬灭,当单独加入下图中的带荧光标记的H1和H2时,荧光保持在淬灭状态。而加入目标物mir-let-7a后,它可以引发HCR反应。之所以HCR产物不是被石墨烯完全吸附而是脱离石墨烯表面,其原因是氧化石墨烯/DNA的相互作用取决于DNA结构中没有形成双键的那部分单链核苷酸的比例,单链的比例越高,吸附能力也就越强。我们所知的是HCR形成的是带缺刻的完全互补配对的双链产物,比单独的H1和H2所含有的单链部分比例有所降低,所以HCR的产物看起来好像是站立在石墨烯的表面上。这种HCR产物的不断积累,就是荧光信号增加的原因[参考文献1]。

图1:miRNA的HCR检测
赭曲霉素A是一种常见的真菌代谢产物,在食品和饲料中广泛存在。可对肾脏造成不可逆的毒害,引起肾脏萎缩,严重影响动物的身体机能和生长状况。
在图2中,使用高度特异性的适配体和脱氧核酶(Dnazyme)进行赭曲霉素A的检测。适配体和Dnazyme两条DNA链在赭曲霉素A不存在时是一个发夹状的DNA结构。当赭曲霉素A存在时,打开适配体链的发夹结构,适配体链的3’端序列可以打开脱氧核酶链的发夹结构并引发HCR反应,脱氧核酶链形成的G-四联体结构与Hemin结合后被激活过氧化物酶活性,在过氧化氢和TMB存在的情况下,形成蓝色的产物,通过比色法测定溶液的吸光值,可以检测到赭曲霉素A的含量[参考文献2]。

图2:赭曲霉素A的HCR检测
检测汞离子含量
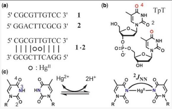
汞离子Hg2+是一种毒性较大的重金属离子,经食物摄入人体的汞量如今已达到20~30μg/日,严重污染地区甚至高达200~300μg/日﹐这给人类健康构成严重威胁,因此检测环境水样中的Hg2+含量是十分有必要的。在Hg2+存在时,Hg2+可以和两个T碱基上的3号氮原子相互作用,形成T-Hg2+-T这样的错误配对结构。当Hg2+不存在时,两个T碱基之间不能形成氢键而发生互补配对[参考文献3]。

图3:T-Hg2+-T的结构
图4中,当体系中不存在Hg2+时,DNA分子被吸附氧化石墨烯表面,荧光被氧化石墨烯淬灭。当Hg2+存在时,由于T-Hg2+-T结构的形成,helper DNA 可以打开HP DNA的发夹并引发HCR反应,HCR产物不断积累。而HCR产物上所带的荧光又和Hg2+含量成正比关系,通过检测荧光的强度,就可以完成对体系中Hg2+含量的检测[参考文献4]。

图4:汞离子Hg2+的HCR检测
1. Yang L, Liu C, Ren W, Li Z, Graphene surface-anchored fluorescence sensor for sensitive detection of microRNA coupled with enzyme-free signal amplification of hybridization chain reaction, ACS Appl Mater Interfaces. 2012 Dec;4(12):6450-3.
2. Wang C, Dong X, Liu Q, Wang K, Label-free colorimetric aptasensor for sensitive detection of ochratoxin A utilizing hybridization chain reaction, Anal Chim Acta. 2015 Feb 20;860:83-8.
3. Uchiyama T, Miura T, Takeuchi H, Dairaku T, Komuro T, Kawamura T, Kondo Y, Benda L, Sychrovsky V, Bour P, Okamoto I, Ono A, Tanaka Y, Raman spectroscopic detection of the T-Hg II-T base pair and the ionic characteristics of mercury, Nucleic Acids Res. 2012 Jul;40(12):5766-74.
4. Huang J1, Gao X, Jia J, Kim JK, Li Z, Graphene oxide-based amplified fluorescent biosensor for Hg(2+) detection through hybridization chain reactions, Anal Chem. 2014 Mar 18;86(6):3209-15.
.png)
