聊到信号通路蛋白的检测,相信大家的第一反应就是WB,但事实上从灵敏度而言,超敏电化学发光技术平台才是您更好的选择,因为我们知道信号通路蛋白的表达并没有那么高,选一个超灵敏的检测方式,才能获得更好的结果。
超敏电化学发光技术作为现阶段高灵敏度的检测技术,不仅在常规生物标志物检测方面表现出众,在信号通路研究中也是研究者的优选方案。
成品试剂盒表现
就以AACR拜耳报告:EGFR表达与磷酸化对EGFR抑制剂治疗头颈部鳞癌有预测作用为例:



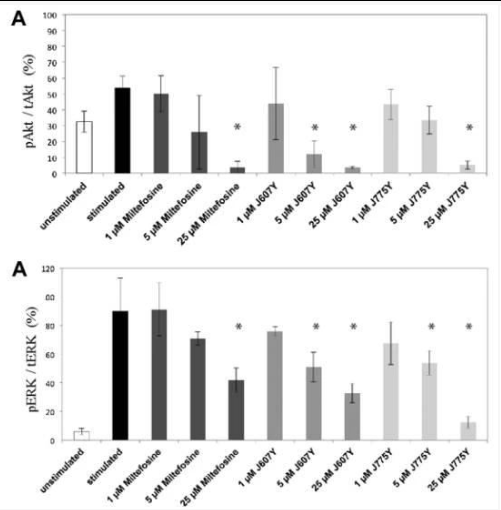
化合物剂量依赖性地降低了Akt和ERK的磷酸化比例(RBL-2H3 cells)。


RBL-2H3 cells were incubated with 1 μM, 5 μM, or 25 μM compound for 2 h and then stimulated with dinitrophenyl– human serum albumin for 15 min. Cells were lysed, and a specific amount of lysate was tested in the pAkt/tAkt (A) and pERK/tERK (B) MSD plates. MSD assays were performed using the Syk inhibitor as a positive control. (C) pSTAT5/ tSTAT5, (D) pp38/tp38,(E) pJNK/ tJNK, and (F) pGSK3β/tGSK3β.
物种涵盖 Human(H), Mouse (M), NHP(P), Rat (R)
|
|
Species |
|
4E-BP1 |
H |
|
4E-BP1 (pT37/46) |
H, M |
|
Akt (pT308)* |
H, M |
|
Caspase-3* |
H |
|
Caspase-3 (p20/p17) (cleaved) |
H |
|
CHOP |
H, M, R |
|
c-Kit |
H, M, R |
|
EGFR* |
H |
|
EGFR (pY1173) |
H |
|
eIF4E (pS209) |
H |
|
ErbB2* |
H |
|
P-JNK* |
H |
|
MEK 1/2 (pS217/ pS221) |
H, M, R |
磷酸化 / Total 蛋白 2因子试剂盒
|
Species |
Analyte |
|
Human,Mouse, Rat |
Akt pS473/Total |
|
Human |
Caspase-3 (Cl. p20/p17)/Total |
|
Human |
EGFR pY1173/Total |
|
Human |
ErbB2 pY1248/Total |
|
Human,Mouse, Rat |
ERK1/2 (pT202/pY204)/(pT185/pY187)/Total |
|
Human,Mouse, Rat |
GSK-3b pS9/Total |
|
Human |
JNK (pT183/pY185)/Total |
|
Human,Mouse, Rat |
MEK1/2 (pS217/221)/Total |
|
Human,Mouse, Rat |
p38 (pT180/pY182)/Total |
|
Human,Mouse, Rat |
p53 Ub/Total |
|
Human,Mouse, Rat |
p70S6K (pT421/pS424)/Total |
|
Human,Mouse, Rat |
STAT5a,b pY694/Total |
信号通路多因子试剂盒
|
Species |
Name |
Analytes |
|
Human,Mouse, Rat |
Akt Signaling Panel(Phosphoprotein) |
pAkt, p70S6K, pGSK-3b |
|
Human,Mouse, Rat |
Akt Signaling Panel (Total Protein) |
Akt, p70S6K, GSK-3b |
|
Human,Mouse, Rat |
Akt Signaling Panel II(Phosphoprotein) |
pAkt, p70S6K, pGSK-3b, pS6RP |
|
Human |
Apoptosis Panel |
pp53, p53, Cl. Caspase-3, Cl. PARP |
|
Human,Mouse, Rat |
ERK-STAT3 Cascade Panel |
pERK1/2, pMEK1/2, pSTAT3 |
|
Human |
Insulin Signaling Panel(Phosphoprotein) |
pIR, pIGF-1R, pIRS-1 |
|
Human |
Insulin Signaling Panel(Total Protein) |
IR, IGF-1R, IRS-1 |
|
Human,Mouse, Rat |
MAP Kinase Panel(Phosphoprotein) |
pERK1/2, pJNK, p38 |
|
Human |
MAP Kinase Panel (Total Protein) |
ERK1/2, JNK, p38 |
|
Human,Mouse, Rat |
Phospho-STAT Panel |
pSTAT3, pSTAT4, pSTAT5a,b |
那如果没有成品试剂盒,该怎么办?LabEx 只回复两字“好办”!
开发平台表现
RIPK1 是受体相互作用蛋白(RIP)激酶家族的一员,参与了决定细胞“生死存亡”的多种重要信号通路,其激酶活性在RIPK1依赖的细胞凋亡和细胞程序性坏死进程中发挥重要的调节作用。

如何检测?
由于RIPK1属于信号通路蛋白,除了WB以外,老师们还能采用何种高灵敏度方法进行检测呢?相信下面一篇文章,可以给到大家答案。
《DNL104, a centrally penetrant RIPK1 inhibitor, inhibits RIP1 kinase phosphorylation in a randomized phase I ascending dose study in healthy volunteers》
DNL104是一种选择性的中枢神经系统渗透性RIPK1活性抑制剂。DNL104抑制RIPK1信号的作用,可以通过其阻断啮齿动物急性TNF-α刺激所产生的下游效应的能力来证明,包括RIPK1的磷酸化程度增加、细胞因子释放增多和体温降低。在体外,利用TNF-α刺激人的PBMC进行相关研究,DNL104阻断了丝氨酸166处RIPK1的磷酸化。
这篇文献报告了DNL104第一阶段研究的结果,评估了健康志愿者单\多剂量递增研究中的耐受性、安全性、药代动力学和药效动力学的情况。
结果表明,DNL104可以抑制健康志愿者的RIPK1磷酸化,而不影响中枢神经系统,但同时也表明在多次上升剂量中存在一些肝脏毒性问题,这个有待进一步研究。

多因子检测服务专家
LabEx 提供 V-PLEX人、小鼠、大鼠:炎症反应、免疫调节、TH1/TH2通路重要指标多因子组合检测。

更多检测服务
LabEx 提供各种以多因子为基础的检测服务。
基因水平
-
PCR-Array
-
基因芯片
蛋白水平
-
ELISA
-
Array
-
Luminex
-
CBA
-
MSD
细胞水平
-
功能检测
-
多色流式
-
分选
组织水平
-
常规培化
-
mIHC
