在实际实验中,需要把两种物质进行交联,或把一个物质添加上另外一个基团(比如说蛋白添加生物素),但是两种物质很难直接进行交联,或者直接交联的条件会导致物质的失效,所以会选择一种交联试剂对两种物质进行交联。根据需要交联的两个物质所带的基团、交联剂是否可溶以及后续是否需要切断等因素可以对交联剂进行选择。
因物质带各种基团可以根据各种基团进行交联试剂的选择:
一般目标物所携带常见的化学基团为氨基(-NH2)、巯基(-SH)、醛基(-CHO)以及羧基(-COOH)等:
-
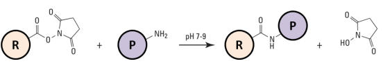
氨基(-NH2)一般和N-羟基琥珀酰亚胺NHS基团反应产生交联
-
巯基(-SH)一般和马来酰亚胺反应产生交联
-
醛基(-CHO)一般和酰肼化合物反应
-
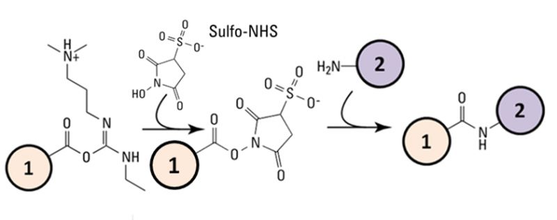
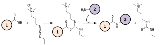
羧基(-COOH)一般和碳二亚胺(如:EDC)反应,再生成NHS酯结构。而NHS酯又可以跟氨基发生交联
下面,小编将上述列举的常见交联剂的反应方式分享给大家:





或者

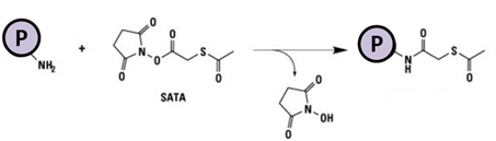
此外,某些交联剂还能够直接目标物修饰上生物素、巯基或碘化:




当然交联试剂不仅是可以交联蛋白和蛋白,还可以交联一些其他物质,交联剂也常用于修饰核酸、药物和将物质交联到固相载体等等。
例如:
生工生物的Oligo,5端DBCO修饰不能跟3端NH2同时修饰,因为5端DBCO的原料是NHS酯的形式,需要先将Oligo的5端标记上NH2,再与DBCO-NHS偶联:

如果oligo的3端与5端都修饰了NH2,那么会导致无法将DBCO特异性地标记在5端NH2上。
做生物传感器的小伙伴们经常会遇到合成Oligo时,NH2与其他基团合成冲突,原因就是这个了。

