


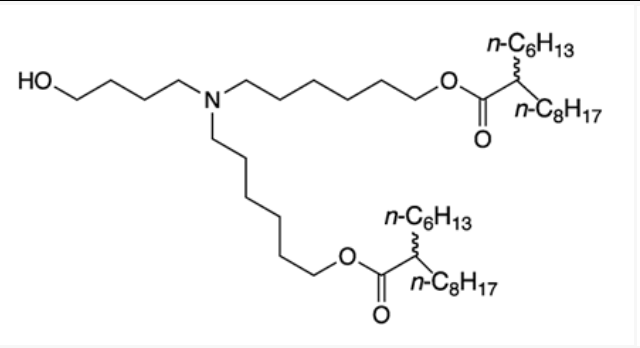
中文名称:((4-羟基丁基)氮杂二烷基)双(己烷-6,1-二基)双(2-己基癸酸酯)
货号:ECS2193A
CAS号:2036272-55-4
分子式:C48H95NO5
分子量:766.27
储存:-20±5℃

中文名称:十七烷-9-基-8-((2-羟乙基)(6-氧代-6-((癸氧基)己基)氨基)辛酸酯)
货号:ECS2194A
CAS号:2089251-47-6
分子式:C44H87NO5
分子量:709.66
储存:-20±5℃

中文名称:甲氧基聚乙二醇双十四烷基乙酰胺
货号:ECS2195A
CAS号:1849616-42-7
分子式:(C2H4O)nC31H63NO2, n≈45
储存:-20±5℃

中文名称:二肉豆蔻酰甘油-聚乙二醇2000
货号:ECS2196A
别名:DMG-PEG2000长循环脂质体;1,2-二肉豆蔻酰基-SN-甘油-3-甲氧基聚乙二醇
CAS号:160743-62-4
分子式:C32H62O5(C2H4O)n, n≈45
储存:-20±5℃
除了以上产品,西宝生物还可以提供助磷脂DOPE(二油酰磷脂酰乙醇胺)、膜骨架材料DSPC(1,2-二硬脂酰-SN-甘油-3-磷酸胆碱)与DOPC(1,2-二油酰基-SN-丙三基-3-胆碱磷酸)、胆固醇、其他阳离子脂质体DOP-DEDA、DOTMA、Dlin-MC3-DMA及PEG化脂质体等。更多产品,请致电400-021-8158或访问我们的官网www.seebio.cn。
